Recent

Easy PSET template with examples.

Template for projects written in the project work courses at the Department of Mathematics at the University of Oslo.

Math template provided by Professor Cortez

2016年度数学序論IC1クラスの課題用テンプレート

This is a copy of the LaTeX code for Project #1 in Math 2400 at Fitchburg State University. Students can use this to help with their write-up. This project was adapted from Adam Graham-Squire at High Point University. Students will use this to explore properties of hyperbolic trig functions within calculus.

Modelo criado por mim para manutenção de meu site: matematicautodidata.com

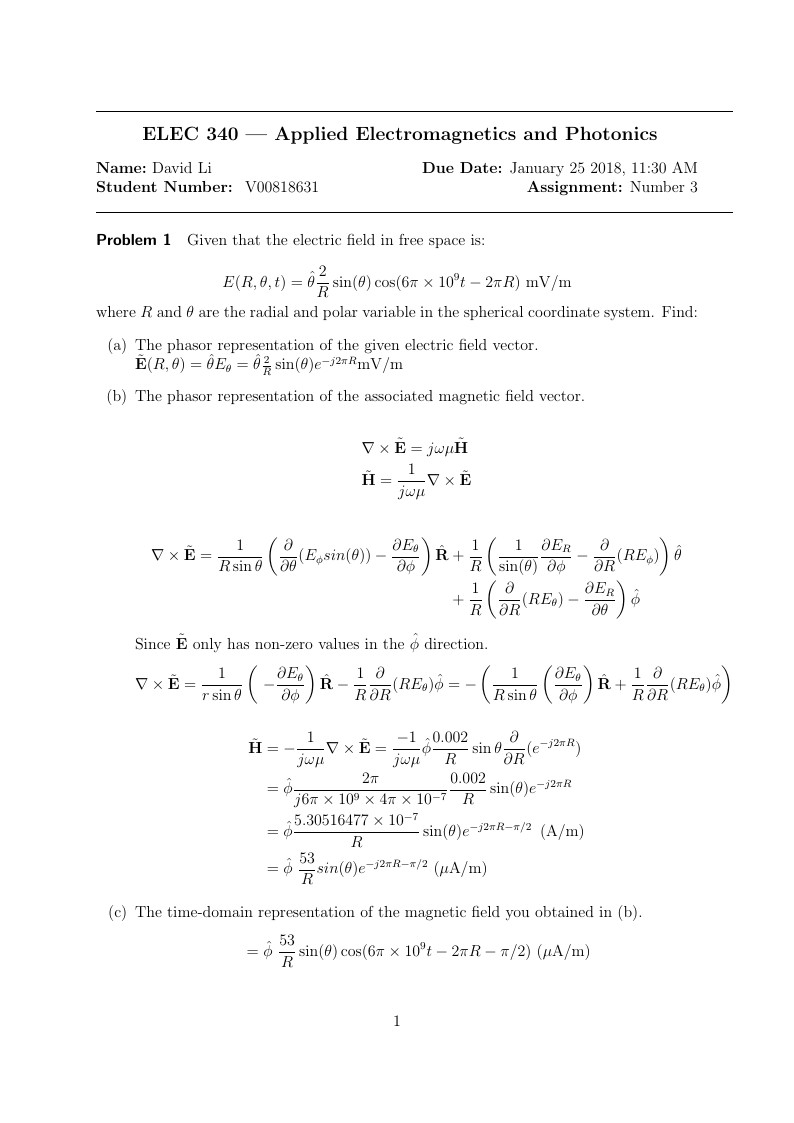
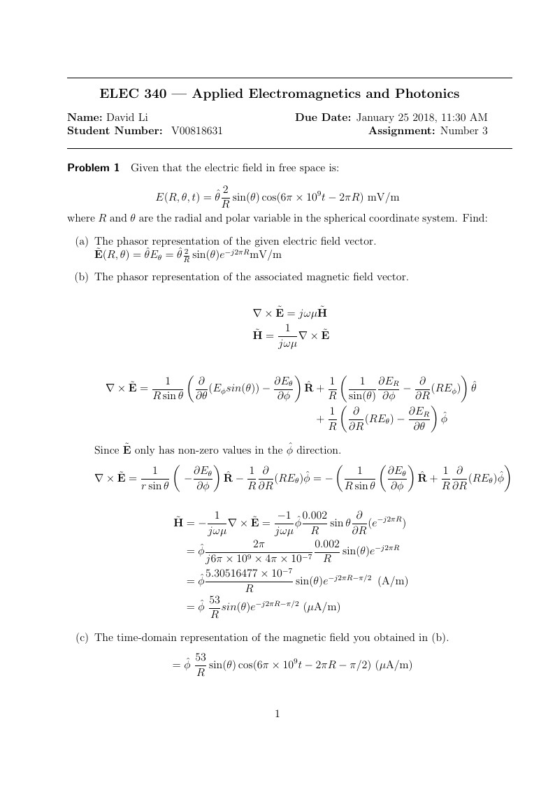
A light template for my electromagnetic class at the University of Victoria

Math 250, Meredith College

This is a template and guide for preparing papers for journals from the Royal Statistical Society using the oup-authoring-template class file. See the oup-authoring-template.tex file (included and used by default when opening the template) for a simple template to help you get started. The oup-authoring-template-doc file (also included) provides instructions for using the additional features in the document class. This is not a general guide on how to use LaTeX, and nor does it replace the journal's instructions to authors.
\begin
Discover why over 20 million people worldwide trust Overleaf with their work.